SHMEIWSEIS0.75APO17-30

SHMEIWSEIS0.75APO17-30
SHMEIWSEIS0.75APO17-30 SHMEIWSEIS0.75APO17-30 SHMEIWSEIS0.75APO17-30 SHMEIWSEIS0.75APO17-30 SHMEIWSEIS0.75APO17-30 SHMEIWSEIS0.75APO17-30 SHMEIWSEIS0.75APO17-30 SHMEIWSEIS0.75APO17-30
Τιμή: 0,00€
Ποσότητα:  

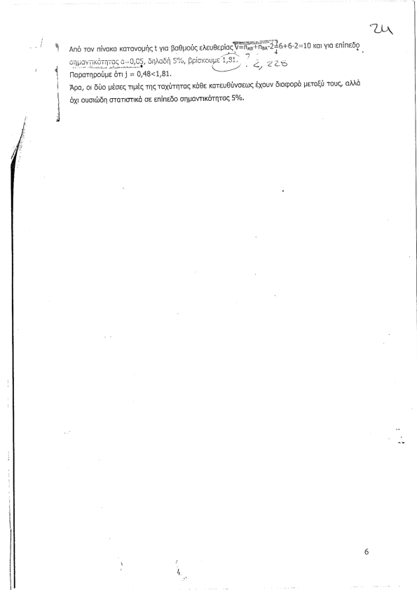
Σημείωση: Οι παραπάνω φωτογραφίες αποτελούν προεπισκόπηση μέρους των σημειώσεων!

Στην περίπτωση που επιθυμείτε να δείτε ολόκληρες τις σημειώσεις, μπορείτε να περάσετε από το κατάστημα μας.

Η τιμή των σημειώσεων υπολογίζεται με τον αριθμό των σελίδων επί το κόστος εκτύπωσης ανά ασπρόμαυρη σελίδα.

Ώρες λειτουργίας καταστήματος:

  • Δευτέρα έως Παρασκευή 08.30 - 21.00 (συνεχόμενο)
  • Σαββάτο 10.00 - 15.00

Copycat © 2026.